



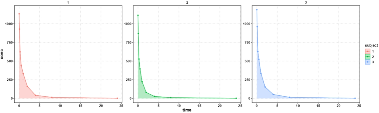
| Subject | b0 | CMAX | CMAXD | TMAX | TLAG | CLST | CLSTP | TLST | LAMZHL | LAMZ | LAMZLL | LAMZUL |
|---|---|---|---|---|---|---|---|---|---|---|---|---|
| 1 | 7.90557889985285 | 908.5932 | 908.5932 | 4 | 0 | 9.3486 | 9.71817401433272 | 24 | 2.95397187180416 | 0.234649214901495 | 4 | 24 |
| 2 | 7.58477681684899 | 787.2827 | 787.2827 | 4 | 0 | 8.1577 | 8.1617166958425 | 24 | 3.03273562647809 | 0.228555095441965 | 4 | 24 |
| 3 | 6.90409852511053 | 445.6481 | 445.6481 | 4 | 0 | 4.9184 | 4.81604358778232 | 24 | 0.222172740271905 | 0.222172740271905 | 4 | 24 |
AMDET预测与优化
药代动力学优化
高精度
针对不同类型生物制剂的ADMET预测
机理研究支持
基于独有数据资源和前沿AI模型持续优化模型